«Утверждено»
решением Комитета денежно-кредитного регулирования
от 17 сентября 2025 года №36
Методика расчета
межбанковской эталонной процентной ставки Кыргызской Республики
(BIR – Bishkek Interbank Rate)
1. Настоящая Методика расчёта межбанковской эталонной процентной ставки Кыргызской Республики (далее – Методика) определяет порядок вычисления и публикации официальной эталонной процентной ставки, основанной на фактических сделках межбанковских операций репо сроком на 7 дней в национальной валюте (сом). Межбанковская эталонная процентная ставка BIR – это ориентировочная процентная ставка, которая служит индикатором рыночной стоимости денег на межбанковском денежном рынке Кыргызской Республики. Межбанковская эталонная процентная ставка BIR призвана служить надежным ориентиром для участников финансового рынка, отражая фактические условия краткосрочного денежного рынка в стране.
2. Целью настоящей Методики является обеспечение прозрачности и единообразия при определении официальной эталонной процентной ставки. Методика может пересматриваться в установленном порядке при изменении рыночных условий или нормативных требований.
Методика расчета
3. Основной источник данных: Эталонная процентная ставка рассчитывается на основе процентных ставок фактически заключённых между коммерческими банками межбанковских сделок репо сроком на 7 дней в национальной валюте (сом). Расчёт производится в каждый рабочий день (день T) по сделкам, совершённым на дату T до конца операционного дня.
4. Алгоритм расчёта ставки: если в день T на межбанковском рынке были заключены одна или несколько 7-дневных сделок репо в национальной валюте, то рассчитывается средневзвешенная процентная ставка по этим операциям. Расчёт средней ставки производится как объемно-взвешенное среднее: процентные ставки всех квалифицируемых сделок репо за день T взвешиваются по объёму каждой сделки.
5. Формула вычисления может быть представлена следующим образом:
– ставка по i-й межбанковской сделке репо;
– объем i-й сделки;
– количество межбанковских сделок в день;
Полученное средневзвешенное значение округляется до двух знаков после запятой (базис – одна сотая процента) для публикации.
6. Годовая база расчёта: Эталонная ставка выражается в годовых процентах на основе 365-дневного года. Это означает, что вне зависимости от фактического срока операции (7 календарных дней) ставка представляется в пересчёте на годовую доходность с использованием 365-дневной процентной базы. Таким образом, ставка по каждой сделке репо, используемой в расчёте, и итоговое средневзвешенное значение трактуются как 365 дней.
Механизм замещения
7. В случае отсутствия в день T сделок, удовлетворяющих критериям основного расчёта, применяется предусмотренный механизм замещения эталонной ставки по следующему порядку:
1) Последнее наблюдаемое значение: если на дату T отсутствуют какие-либо 7-дневные межбанковские сделки репо (не было заключено ни одной сделки), и с даты последней фактически проведённой такой сделки прошло не более 5 рабочих дней, то в качестве эталонной процентной ставки на день T принимается последнее доступное наблюдаемое значение ставки. Таким образом, обеспечивается непрерывность ряда значений эталонной ставки в краткосрочном периоде отсутствия новых сделок.
2) Синтетическая ставка: если межбанковские 7-дневные сделки репо отсутствуют на протяжении периода, превышающего 5 рабочих дней подряд, для расчёта эталонной ставки применяется синтетический подход. Синтетическая ставка вычисляется следующим образом:
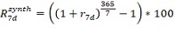
а) Базовый расчёт на основе ставки «овернайт» Национального банка: используется актуальная процентная ставка по депозитам «овернайт» Национального банка на день T. На основе этой ставки рассчитывается эффективная доходность за 7 календарных дней при ежедневном компаундинге (сложного процента) на базе 365дней: – ставка депозита «овернайт», в % годовых
б) Приводится к годовой ставке на базе 365 дней:
в) Далее определяется спред S как среднее арифметическое разниц между фактическими 7-дневными ставками репо и синтетическими
за последние до 5 рабочих дней
, в которые были реальные сделки:
M
г) К базовому значению добавляется средний спред:
д) Полученное значение округляется до двух знаков после запятой (базис – одна сотая процента) для публикации.
Примечание:
- Если за последние 5 рабочих дней имеются данные менее чем по 5 дням с фактическими сделками (например, сделки были 1-2 дня в этом интервале), для расчёта спреда используются имеющиеся предыдущие наблюдения (то есть рассчитывается средний спред по тем дням, когда были сделки).
- Если же на протяжении длительного времени (до 45 дней) отсутствуют сделки и статистических наблюдений недостаточно для надежной оценки спреда, Национальный банк вправе применить экспертную оценку или отдельное решение (в рамках пересмотра Методики) для определения величины.
8. Применение механизма замещения гарантирует непрерывность публикации эталонной процентной ставки даже в условиях низкой рыночной активности. При этом выбранный подход (последнее доступное наблюдаемое значение ставки при отсутствии данных и переход на синтетический расчет при более длительном отсутствии операций) обеспечивает баланс между актуальностью ставки и её стабильностью, избегая резких скачков при единичных отсутствиях торгов, но одновременно адаптируясь к изменению рыночных условий, если рынок репо временно не функционирует.







