Приложение 3
к постановлению Комитета по надзору
Национального банка Кыргызской Республики
от 26.12.2014г. №46/1
МЕТОДИЧЕСКИЕ УКАЗАНИЯ
по заполнению периодического регулятивного отчета кредитных союзов, осуществляющих операции в соответствии с исламскими принципами банковского дела и финансирования
(Изменения и дополнения утверждены постановлением Комитета по надзору НБКР № 37/3 от 05.10.2017г., №06/2 от 08.02.2018 г., № 43/2 от 30.12.2022 г., №13/1 от 06.03.2025 г.)
I.ОБЩИЕ ПОЛОЖЕНИЯ
1. В настоящих Методических указаниях дается разъяснение порядка заполнения приложений к Положению «О периодическом регулятивном отчете кредитных союзов, осуществляющих операции в соответствии с исламскими принципами банковского дела и финансирования» (далее по тексту – ПРО), представляемых по следующим разделам:
1) титульный лист;
2) раздел 1 «Регулятивный отчет о финансовом состоянии»:
3) раздел 2 «Отчет о доходах и расходах»;
4) раздел 3 «Информация по портфелю финансирования»;
5) раздел 4 «Сведения о крупных клиентах кредитного союза»;
6) раздел 5 «Сведения о крупных проблемных клиентах кредитного союза»;
7) раздел 6 «Отчет по операциям привлечения КС»;
8) раздел 7 «Прочая информация»;
9) раздел 8 «Информация о соблюдении экономических нормативов кредитного союза»;
10) раздел 9 А. «Сведения о членах наблюдательного совета, правления, участниках (пайщиках) и членах Шариатского совета КС»;
11) раздел 9 Б. «Информация об отдельных должностных лицах КС»;
12) раздел 9 В. «Базовая информация по КС (сведения о филиалах, действующие комитеты, дочерние и аффилированные компании)».
Все суммы должны быть указаны в тысячах сомов (суммы в иностранной валюте должны быть указаны в сомовом эквиваленте по официальному курсу Национального банка на отчетную дату).
(изменения и дополнения утверждены постановлением Комитета по надзору НБКР № 13/1 от 06.03.2025 г.)
2. утратил силу в соответствии с постановлением Комитета по Надзору № 37/3 от 05.10.2017г.
3. Разделы, не описанные в настоящих методических рекомендациях, заполняются согласно соответствующим нормативным правовым актам Национального банка.
II.ТИТУЛЬНЫЙ ЛИСТ
4. На титульном листе указывается:
1) дата и исходящий номер регистрации;
2) дата, по состоянию на которую подготовлен отчет. Датой является последний день отчетного периода, и отчет составляется по состоянию на конец дня;
3) дата составления отчета;
4) периодичность – «ежеквартальный», «годовой» или «корректировка». При предоставлении квартального отчета подчеркнуть слово «квартальный». При предоставлении отчета за 4-й квартал, который является годовым, подчеркнуть слово «годовой». Отметить слово «корректировка» при представлении откорректированного отчета. Корректировка отчета допускается, если возникают ошибки технического характера. В этом случае представляются только те формы отчетностей, в которые внесены изменения, при этом изменения помечаются маркером;
5) вид проведенного аудита или проверки - указывается одна или две из следующих строк:
а) внутренняя проверка - если проверка проведена Ревизионной комиссией кредитного союза (далее – КС);
б) аудит без заключения - если проведен аудит, который не дает рекомендаций, плана работ в перспективе, а ограничивается выдачей заключения о правильности ведения банковских операций и бухгалтерского учета;
в) аудит с выдачей заключения - если проведен аудит, который кроме проверки правильности ведения операций и бухгалтерского учета, дает КС рекомендации и план мероприятий для улучшения и/или совершенствования его деятельности;
6) наименование отчитывающегося КС, которое указывается печатными буквами;
7) удостоверяющие подписи Председателя Правления КС либо участника КС, исполняющего обязанности Председателя в его отсутствие, Главного бухгалтера;
8) подпись сотрудника КС, ответственного за составление и предоставление ПРО с указанием должности, фамилии, имени, отчества и номера телефона.
РАЗДЕЛЫ
III.ПЕРИОДИЧЕСКОГО РЕГУЛЯТИВНОГО ОТЧЕТА
1.Раздел 1 «Регулятивный отчет о финансовом состоянии»
(изменения и дополнения утверждены постановлением Комитета по надзору НБКР № 13/1 от 06.03.2025 г.)
5. В регулятивном отчете о финансовом состоянии отдельно выделяются наиболее существенные статьи финансового состояния КС с точки зрения регулятивного отчета.
(изменения и дополнения утверждены постановлением Комитета по надзору НБКР № 13/1 от 06.03.2025 г.)
Регулятивный отчет о финансовом состоянии состоит из двух колонок:
1) наименование статьи отчета;
2) всего - значение статьи в сомах.
6. Суммы в статьях отчета о финансовом состоянии (кроме финансирования) показываются за вычетом соответствующих сумм резервов на покрытие потенциальных потерь и убытков (далее - РППУ), амортизационных отчислений и дисконта/премии (чистую стоимость активов).
7. В отчете активы и пассивы группируются по содержанию. Активы располагаются по степени убывания ликвидности, а обязательства по срокам погашения.
В столбце 3 раздела указываются остатки балансовых счетов соответствующих групп счетов.
§ 1. Подраздел «Активы»
8. В статье 1 «Денежные средства» указываются наличные денежные средства, находящиеся в кассе КС.
В статье 2 «Расчетные счета» указываются денежные средства, находящиеся на расчетных счетах в коммерческих банках.
В статье 3 «Депозиты в ФКО, включая банки» указываются средства КС, размещенные в коммерческих банках, которые приносят доход КС и имеют установленный срок платежа.
В статье 4 «Долговые ценные бумаги, удерживаемые до погашения» указываются долговые ценные бумаги, которыми КС твердо намерен и способен владеть до срока погашения.
В статье 5 «Годные для продажи долговые и капитальные ценные бумаги» - отражаются долговые и капитальные ценные бумаги, которые приобретены не в целях продажи в короткие сроки, но могут быть проданы до погашения. Годные для продажи ценные бумаги – ГКВ Кабинета Министров Кыргызской Республики, приобретаемые КС, не включая капитальные ценные бумаги других ФКО, лицензируемых Национальным банком. Ценные бумаги, приобретаемые КС, должны соответствовать стандартам шариата.
В статье 6 «Всего ликвидные активы» указывается сумма значений статей с 1 по 5.
В статье 7 «Финансирование» указывается финансирование, предоставленное КС своим участникам.
В статье 8 «(Минус) Специальный РППУ по финансированию» указывается сумма специального РППУ по классифицированным активам, созданным в соответствии с требованиями Положения «О классификации активов и формировании резервов на покрытие потенциальных потерь и убытков небанковскими финансово-кредитными организациями», утвержденного постановлением Правления Национального банка от 28.12.2020 года № 2020-П-33/75-4-(НФКУ).
В статье 9 «Всего: чистое финансирование» указывается разность между значениями статей 7 и 8.
В статье 10 «Активы/инвентарь для последующей передачи клиентам» указывается стоимость зданий, других сооружений, мебели, оборудования и других активов/инвентаря, приобретенных КС для последующей передачи клиентам, в том числе по договорам мурабаха и иджара/иджара мунтахийя биттамлик. Данные отражаются в разбивке на недвижимое и движимое имущество.
В статье 11 «Основные средства, всего» указываются вложения в здания, мебель, офисное оборудование, компьютеры, автомашины, и незавершенное строительство. Статья 11 включает в себя, в том числе, основные средства, полученные в виде гранта на безвозмездной основе. Стоимость основных средств уменьшается на сумму накопленной амортизации (за минусом).
В статье 12 «Прочая собственность, всего:» указываются данные в разбивке на:
а) недвижимость клиента, принятая в погашение полученного финансирования – отражается недвижимость, принятая на баланс КС в результате перехода к нему права собственности на заложенное имущество;
б) прочая собственность клиента, принятая в погашение предоставленного финансирования – отражается прочая собственность клиента (кроме недвижимости), принятая на баланс КС в результате перехода к нему права собственности на заложенное имущество.
В статье 13 «Инвестиции и финансовое участие» указываются инвестиции в капитал ФКО, лицензируемых и регулируемых Национальным банком и др.
В статье 14 «Начисленные доходы к получению, всего:» указываются данные подстатей а) - г), отражаемых отдельно в соответствующих строках:
а) по депозитам в банках и других ФКО – отражаются доходы, начисленные к получению по депозитам в банках и других ФКО;
б) по финансированию – отражаются доходы, начисленные к получению по финансированию, выданному участникам;
в) по ценным бумагам, удерживаемым до погашения – отражаются доходы, начисленные к получению по приобретенным ценным бумагам, удерживаемым до погашения;
г) по ценным бумагам, годным для продажи – отражаются доходы, начисленные к получению по приобретенным ценным бумагам, годным для продажи.
В статье 15 «Прочие активы, всего:» указываются прочие активы, не учтенные в предыдущих статьях: комиссионные, предоплата, расходы будущих периодов, счета к получению, малоценные и быстроизнашивающиеся предметы, переданные в использование, товарно – материальные запасы, нематериальные активы, капитальные вложения в благоустройство арендованной собственности и прочие.
В статье 16 «Всего активы» указывается сумма значений статей 6, 9-15.
На внесистемных счетах указываются данные, находящиеся на внесистемном учете: находящиеся на внесистемном учете: списанное финансирование, наценка/доход по классифицированным активам, прочее имущество по чистой реализуемой стоимости и плата за невыполнение обязательств по классифицированным активам (пени).
(изменения и дополнения утверждены постановлением Комитета по надзору НБКР № 13/1 от 06.03.2025 г.)
§ 2. Подраздел Б. «Обязательства и капитал»
9. В статье 1 «Депозиты до востребования по договору кард» указываются денежные средства участников КС на депозитах до востребования.
(изменения и дополнения утверждены постановлением Комитета по надзору НБКР № 13/1 от 06.03.2025 г.)
В статье 2 «Срочные депозиты по договору мудараба» указываются денежные средства участников КС на срочных депозитах, в разбивке на:
(изменения и дополнения утверждены постановлением Комитета по надзору НБКР № 13/1 от 06.03.2025 г.)
а) срочные депозиты по договору ограниченная мудараба;
б) срочные депозиты по договору неограниченная мудараба.
(изменения и дополнения утверждены постановлением Комитета по надзору НБКР № 13/1 от 06.03.2025 г.)
В статье 3 «Всего» указывается сумма значений статей 1 и 2.
В статье 4 «Финансирование, полученное от банков и других финансовых организаций» указываются сумма финансирования, полученного КС от банков и других финансово-кредитных организаций, в разбивке на:
а) от ОАО «Финансовая компания кредитных союзов» (далее - ФККС);
б) в т.ч.техническое финансирование от ФККС;
в) от банков;
г) от других финансовых организаций;
д) от международных финансовых организаций и доноров;
е) от международных ФКО.
В статье 5 «Финансирование, предоставленное Кабинетом Министров Кыргызской Республики» указывается финансирование, предоставленное Министерством финансов Кыргызской Республики, областных, районных, городских акимиатов, счета министерств и других бюджетных фондов.
(изменения и дополнения утверждены постановлением Комитета по надзору НБКР № 43/2 от 30.12.2022 г.)
В статье 6 «Другие обязательства и финансирование» указываются обязательства по капитальной аренде и другим подобным обязательствам КС.
В статье 7. «Начисленные расходы к выплате» указываются начисленные, но не выплаченные КС на дату составления отчета расходы, в разбивке на:
а) по депозитам участников;
(изменения и дополнения утверждены постановлением Комитета по надзору НБКР № 13/1 от 06.03.2025 г.)
б) по финансированию от ФККС;
в) по техническому финансированию ФККС;
г) по финансированию от банков;
д) по финансированию от других финансовых организаций;
е) по финансированию от международных организаций и доноров;
ж) по финансированию от международных ФКО;
з) прочие.
В статье 8 «Прочие обязательства» указываются данные в разбивке на:
а) счета кредиторов - указываются различные обязательства по расчетам за поставку товаров, оказанные услуги, начисленная заработная плата;
б) отсроченный доход (наценка) по операциям мурабаха и салам;
в) дивиденды к выплате - указывается сумма начисленных дивидендов участникам КС после распределения;
г) начисленные обязательства - указывается начисленная заработная плата, начисленные налоговые платежи;
д) доходы будущих периодов - указываются авансовые поступления, полученные от покупателей за основные средства, материалы, услуги, возмещаемые комиссионные расходы.
В статье 9 «Всего обязательства» указываются сумма значений статей 3- 8.
В статье 10 «Сберегательные паи» указывается общая сумма сберегательных паев участников КС на дату составления отчета.
В статье 11 «Резервы для будущих потребностей (капитальные резервы)» указываются резервы, сформированные КС из части, либо всей суммы прибыли (не доступной для выплаты дивидендов) согласно решению Общего собрания участников. Формируется один раз в год по результатам общего собрания участников КС.
В статье 12 «Общий РППУ» указывается сумма РППУ по неклассифицированным активам.
В статье 13 «Резерв на выравнивание прибыли (РВП)» указывается сумма, выделяемая КС из валовой прибыли до распределения доли мудариба, с целью поддержания определенного уровня доходности по инвестициям держателей инвестиционных счетов.
В статье 14 «Резерв на покрытие рисков по инвестициям» (в случае наличия такового) указывается сумма, выделяемая из прибыли держателей инвестиционных счетов, после распределения доли прибыли мудариба, с целью смягчения рисков будущих инвестиционных убытков держателей инвестиционных счетов.
В статье 15 «Нераспределенная прибыль/убытки» указываются данные в разбивке на:
а) прибыль/убытки прошлых лет - указывается сумма прибыли прошлых лет, оставшаяся без распределения;
б) прибыль/убытки последнего отчетного (текущего) периода.
В статье 16 «Всего капитал» указывается сумма статей 10, 11, 12, 13, 14 и 15-а), в случае убытков строки 15-а) и 15-б) вычитаются.
В статье 17 «Всего обязательства и капитал» указывается сумма статей 9-15.
§ 3. Подраздел В. «Забалансовые обязательства»
10. В статье 1 «Обязательства на предоставление финансирования» отражаются обязательства на предоставление финансирования в будущем.
В статье 2 «Гарантии, поручительства и подобные обязательства» отражаются общие гарантии и подобные им обязательства КС.
В статье 3 «Обязательства по покупке активов» отражаются обязательства КС по покупке активов в будущем.
В статье 4 «Прочие забалансовые обязательства» отражаются все другие забалансовые обязательства, не указанные выше.
В статье 5 «Всего забалансовых обязательств» показывается сумма статей с 1 по 4.
2. Раздел 2. «Отчет о доходах и расходах»
(изменения и дополнения утверждены постановлением Комитета по надзору НБКР № 13/1 от 06.03.2025 г.)
11. В данной форме отчетности должны отражаться доходы и расходы, полученные и произведенные КС за отчетный период (графа 3 «за квартал») и сначала года (графа 4 «нарастающим итогом»). Доходы и расходы, возникающие в результате деятельности КС, группируются по их характеру и раскрываются суммы основных типов доходов расходов.
В статье 1 «Доходы, полученные по операциям (сумма ст. а)-в))» указываются доходы, полученные КС в отчетном периоде, и включаются суммы следующих подстатей:
- по долговым обязательствам;
- по денежным средствам на счетах в других банках и ФКО;
- по финансированию, предоставленному участникам КС.
В статье 2 «Доходы по привлеченным инвестициям» указываются доходы КС по привлеченным инвестициям, полученным в отчетном периоде.
В статье 3 «Расходы, понесенные по операциям» указываются расходы, полученные КС в отчетном периоде, и включаются суммы статей 4, 5 и 6.
В статье 4 «Расходы по счетам участников» указываются расходы по счетам участников КС, размещенным в КС.
В статье 5 «Расходы по финансированию, полученному от банков и финансовых организаций» указываются все расходы, связанные с полученным финансированием от внешних источников: ФККС, коммерческих банков, от других финансовых организаций КР.
В статье 6 «Прочие расходы по операциям» указываются прочие расходы по операциям, не указанные выше.
В статье 7 «Чистый доход» указывается сумма статей 1 и 2 за минусом статьи 3.
В статье 8 «Расходы на РППУ» указываются расходы на РППУ.
В статье 9 «Чистый доход после отчислений в РППУ» указывается разность статей 7 и 8.
В статье 10 «Доходы от прочих операций» указываются доходы от сбора денежных средств по другим видам деятельности КС и включают в себя сумму следующих подстатей:
а) плата за услуги и комиссионные сборы по финансированию - указываются доходы в виде комиссионных сборов и прочих подобных выплат, получаемых за услуги, включая нотариальные пошлины и т.д.;
б) плата за аренду помещений - указываются доходы, получаемые КС от собственных зданий, занимаемых сторонними арендаторами;
в) доход (убыток) от реализации основных средств - указываются доходы (убытки), получаемые КС от реализации основных средств, используемых в КС;
г) доход (убыток) от реализации прочей собственности - указываются доходы (убытки), получаемые КС от реализации залогового имущества по невозвращенному финансированию;
е) прочие доходы - указываются прочие доходы, не перечисленные выше.
В статье 11 «Расходы от прочих операций» указываются операционные расходы КС в отчетном периоде и включают в себя сумму статей 12-20.
В статье 12 «Расходы на персонал» указываются расходы КС, связанные с оплатой труда сотрудников и руководства, поощрениями, социальными выплатами, оплатой обучения персонала и другими выплатами.
В статье 12-а) «Отчисления в Социальный Фонд» указывается сумма отчислений в Социальный Фонд КР.
В статье 13 «Расходы на здания и сооружения» указываются расходы на операционную аренду зданий КС, амортизацию благоустройства арендованных производственных помещений, амортизация зданий и сооружений, расходы на содержание зданий, расходы по договорам на обслуживание и содержание зданий, коммунальные услуги, текущий ремонт зданий, безопасность зданий.
В статье 14 «Расходы на мебель, оборудование, компьютеры и программное обеспечение» указываются расходы на амортизацию мебели и оборудования, компьютеров, аренда мебели и оборудования, текущий ремонт мебели и оборудования, расходы по договорам на обслуживание и содержание оборудования, компьютеров и программного обеспечения.
В статье 15 «Административные расходы» указываются расходы КС, связанные с обеспечением деятельности КС: канцелярские товары и офисные принадлежности, услуги связи, командировочные расходы, представительские расходы, на амортизацию автомобилей, расходы на автомобили, оплата за услуги специалистов, расходы на рекламу и маркетинг, расходы на публикации и подписку, прочие административные расходы.
В статье 16 «Расходы по финансированию и долгам» указываются расходы, связанные с предоставлением финансирования, возвратом долгов и администрированием имущества в виде залога, принятого в собственность, и включает в себя:
а) расходы на возврат долга - указываются расходы на возврат долга (например, оплата услуг юристов, услуг посредников);
б) расходы по заложенному имуществу, принятому в собственность - указываются расходы по заложенному имуществу, принятому в собственность КС (например, плата за охрану имущества, ремонт для предотвращения дальнейшего повреждения имущества или сохранения их стоимости до момента продажи, а также расходы на юридические услуги, связанные с реализацией залогового права).
В статье 17 «Прочие операционные расходы» указываются расходы КС на благотворительность, расходы, связанные с недостачами и излишками в кассе и прочие расходы, возникающие в деятельности КС.
В статье 18 «Такафул» указываются расходы, связанные со страхованием (такафул).
В статье 19 «Налоги, кроме налогов на прибыль» указываются налоги на добавленную стоимость (на добавленную стоимость, не подлежащий зачету, за приобретенные материальные ресурсы и только плательщиками НДС) и прочие налоги.
В статье 20 «Непредвиденные доходы и расходы» указываются доходы или расходы от операций или событий, не связанных с обычной деятельностью КС, и происходящих редко (чрезвычайный доход и расход).
В статье 21 «Расходы по налогу на непредвиденную прибыль» указывается налог на прибыль от непредвиденных событий.
В статье 22 «Чистый операционный доход (убыток)» указывается сумма статей 9 и 10 за минусом статьи 11.
В статье 23 «РППУ (не от операций финансирования)» указываются расходы на РППУ не от операций финансирования.
В статье 24 «Расходы на закят и благотворительность» указываются расходы, направленные КС на закят и благотворительность.
В статье 25 «Чистый доход (убыток)» указывается разность статей 22 и 23 и 24.
(изменения и дополнения утверждены постановлением Комитета по надзору НБКР № 13/1 от 06.03.2025 г.)
3. Раздел 3. «Информация по портфелю финансирования»
§ 1. Подраздел А. «Просроченные активы»
12. Данные по просроченным активам показываются в разбивке по статьям в зависимости от дней просрочки.
13. В столбцах 3, 4, 5 указываются платежи по основной сумме (по графику), наценка/доходам (по графику) и остаток финансирования на конец отчетного периода, соответственно.
В столбце 6 «Коэффициент доходности, в %» указывается коэффициент доходности в процентном выражении.
Определение коэффициента доходности сопоставимо с определением годовой эффективной процентной ставки. Коэффициент доходности – доход в достоверном, годовом, эффективном, сопоставимом исчислении, при расчете которого учитываются платежи клиента, связанные с получением финансирования или вознаграждением клиенту за размещение денежных средств на депозитном счете.
Коэффициент доходности рассчитывается в соответствии с Положением «О расчете эффективной процентной ставки при распространении информации о размере вознаграждения по банковским услугам», утвержденным постановлением Правления Национального банка от 27 августа 2008 года № 33/4.
(изменения и дополнения утверждены постановлением Комитета по надзору НБКР №06/2 от 08.02.2018 г.)
14. В статье 6 «Всего просроченные активы» указывается сумма статей 1-5.
утратил силу в соответствии с постановлением Комитета по Надзору № 37/3 от 05.10.2017г.
В статье 7 «Реструктуризированные активы» указываются реструктуризированные активы, в зависимости от того, один или два и более раза они были реструктуризированы.
В статье 10 «Общая сумма активов, списанных с баланса за отчетный период» указывается общая сумма активов, списанных с баланса и вынесенных на внесистемный учет КС в текущем месяце.
В статье 11 «Общая сумма активов, списанных с баланса с нарастающим итогом» указывается общая сумма активов, списанных с баланса и вынесенных на внесистемный учет КС с нарастающим итогом.
(изменения и дополнения утверждены постановлением Комитета по надзору НБКР № 13/1 от 06.03.2025 г.)
§ 2. Подраздел Б. «Классификация активов»
15. В столбце 2 «Наименование статьи» показывается направление, на которое предоставлено финансирование.
Значение столбца 3 «Всего активов» должно быть равно сумме значений столбцов 6, 7.1, 7.2, 9.1, 9.2, 10, 11.
В столбце 4 «Дисконт» указывается величина несамортизированного дисконта по всем операциям финансирования.
В столбце 5 «Всего резервов» указывается размер РППУ (общего и специального) для каждого типа активов и забалансовых обязательств. Значение столбца 5 должно быть равно сумме значений столбцов 8 и 12.
В столбцах 8 и 12 указывается размер РППУ с разбивкой по видам на общий и специальный резервы.
В столбцах 6, 7, 7.1, 7.2, 9, 9.1, 9.2, 10 и 11 указываются категории активов и забалансовых обязательств, в зависимости от классификации, от «стандартных» до «потерь».
В столбцах 13 и 14 указываются средневзвешенные наценка/доход и коэффициент доходности на конец отчетного периода в процентах. Наценка/доход рассчитывается в порядке, предусмотренном в пункте 16 настоящих методических указаний.
(изменения и дополнения утверждены постановлением Комитета по надзору НБКР № 13/1 от 06.03.2025 г.)
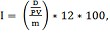
16. Ниже приводится формула как рассчитывать средневзвешенную наценку/доход, на конец отчетного периода.
Привести наценку/доход по финансированию в годовое выражение можно по следующей формуле:
I- годовая наценка/доход на конец отчетного периода, в процентах
D - сумма наценки, указанная в договоре/сумма дохода по финансированию
PV - сумма финансирования, указанная в договоре
m - срок финансирования по договору (срок реструктуризации согласно дополнительному соглашению)
Средневзвешенная наценка/доход = (X1/X* I 1+ X2/X* I 2)*100
Сумма каждой операции финансирования, разделенная на общую сумму предоставленного финансирования (фактическая сумма финансирования из портфеля по финансирования) и умноженная на годовую наценку/доход (в процентном выражении, рассчитывается по вышеуказанной формуле), соответствующую данному виду финансирования.
Х - общая сумма предоставленного финансирования при отдельных финансированиях,
Х1, Х2 - сумма операции финансирования по одной ставке наценки/дохода,
Y1, Y2, - годовая наценки/дохода по отдельной операции финансирования.
(изменения и дополнения утверждены постановлением Комитета по надзору НБКР №06/2 от 08.02.2018 г.)
§ 3. Подраздел В. «Классификация операции иджара мунтахийя биттамлик»
17. Подраздел В. «Классификация операции иджара мунтахийя биттамлик» заполняется аналогично подразделу Б. «Классификация активов».
§ 4. Подраздел Г. «Портфель по финансированию»
18. В столбце 2 «Наименование статьи» указывается направление, на которое предоставлено финансирование.
В столбце 3 «Всего, портфель по финансированию на начало отчетного периода» указывается сумма портфеля по финансированию на начало периода.
В столбце 4 «Всего выдано за отчетный период» указывается объем предоставленного финансирования за период. Столбец 4 должен быть равен сумме столбцов 7-14.
В столбце 5 «Всего погашено за отчетный период» показывается сумма финансирования, погашенного за период.
В столбце 6 «Всего портфель по финансированию, на конец отчетного периода» указывается размер портфеля по финансированию, на конец периода. Столбец 6 должен быть равен сумме статей 3 и 4, за минусом статьи 5.
В столбце 7 показывается сумма предоставленного финансирования сроком до 30 дней.
В столбце 8 показывается сумма предоставленного финансирования сроком от 30 до 90 дней
В столбце 9 показывается сумма предоставленного финансирования сроком от 90 до 180 дней
В столбце 10 показывается сумма предоставленного финансирования сроком от 180 до 365 дней
В столбце 11 показывается сумма предоставленного финансирования сроком от 1 года до 2 лет
В столбце 12 показывается сумма предоставленного финансирования сроком от 2 лет до 3 лет
В столбце 13 показывается сумма предоставленного финансирования сроком от 3 лет до 5 лет
В столбце 14 показывается сумма предоставленного финансирования сроком свыше 5 лет
В столбце 15 указываются средневзвешенная наценка/доход в процентах, за отчетный период.
В столбце 16 указывается средневзвешенный коэффициент доходности в процентах, за отчетный период.
(изменения и дополнения утверждены постановлением Комитета по надзору НБКР №06/2 от 08.02.2018 г.)
§ 5. Подраздел Д. «Операция иджара мунтахийя биттамлик»
19. Подраздел Д. «Операция иджара мунтахийя биттамлик» заполняется аналогично подразделу Г. «Портфель по финансированию».
§ 6. Подраздел Е. «Информация по полученному финансированию»
20. В столбце 2 указывается наименование организаций в разрезе каждой операции финансирования.
В столбце 3 указывается сумма привлеченных средств по финансированию на начало отчетного периода.
В столбце 4 указывается объем привлеченных средств по финансированию за отчетный период.
В столбце 5 указывается сумма погашенного финансирования за отчетный период.
В столбце 6 указывается сумма статей 3 и 4, за минусом статьи 5.
В столбцах 7-14 указываются суммы полученного финансирования в разбивке по срокам.
В столбцах 15 и 16 указываются средневзвешенная наценка/расход, в % и коэффициент доходности на конец отчетного периода, в %.
В столбцах 17 и 18 указываются сумма просроченного платежа по основному долгу и сумма просроченного платежа по наценке/доходу.
(изменения и дополнения утверждены постановлением Комитета по надзору НБКР № 13/1 от 06.03.2025 г.)
4. Раздел 4 «Сведения о крупных клиентах КС»
21. В данную форму включаются сведения по пятнадцати самым большим задолженностям (по финансированию) в порядке убывания по состоянию на отчетную дату.
В столбце 2 «Ф.И.О. клиента» указывается фамилия, имя, отчество клиента КС полностью.
В столбце 3 «Дата предоставления финансирования» указывается дата, в которую было предоставлено текущее финансирование согласно договору по финансированию (число, месяц, год).
В столбце 4 «Дата погашения предоставленного финансирования» указывается дата погашения текущего финансирования согласно договору по финансированию (число, месяц, год).
В столбце 5 «Сумма предоставленного финансирования» указывается сумма предоставленного финансирования согласно договору по финансированию.
В столбце 6 «Наценка/доход, в %» указывается годовая наценка/доход по предоставленному финансированию согласно договору по финансированию.
(изменения и дополнения утверждены постановлением Комитета по надзору НБКР № 13/1 от 06.03.2025 г.)
В столбце 7 «Коэффициент доходности, в %» указывается коэффициент доходности по предоставленному финансированию.
В столбце 8 «Количество платежей» указывается количество платежей по финансированию в соответствии с графиком погашения согласно договору по финансированию.
В столбце 9 «Частота выплат» указывается периодичность выплат по предоставленному финансированию в соответствии с графиком погашения согласно договору по финансированию.
В столбце 10 «Дата погашения первой выплаты основной суммы» указывается дата погашения первой выплаты основной суммы в соответствии с графиком погашения согласно договору по финансированию.
В столбце 11 «Дата погашения последней выплаты основной суммы» указывается дата последней выплаты основной суммы в соответствии с графиком погашения согласно договору по финансированию.
В столбце 12 «Цель» указывается целевое назначение текущего финансирования (вид деятельности на которое направлено финансирование) согласно договору по финансированию.
В столбце 13 «Остаток основной суммы на начало месяца» указывается остаток основной суммы текущего финансирования на начало отчетного периода.
В столбце 14 «Погашено основная сумма» указывается часть суммы основного долга, погашенная в этом месяце.
В столбце 15 «Выдано основная сумма» указывается часть суммы основного долга, выданная в этом месяце.
В столбце 16 «Остаток основной суммы на конец месяца» указывается остаток основной суммы текущего финансирования на конец отчетного периода.
В столбце 17 «Залог» указывается вид залога.
(изменения и дополнения утверждены постановлением Комитета по надзору НБКР №06/2 от 08.02.2018 г.)
5. Раздел 5. «Сведения о крупных проблемных клиентах КС»
1 §. Подраздел А. «Сведения о крупных проблемных клиентах КС»
22. В данный подраздел включаются сведения по пятнадцати самым большим задолженностям в порядке убывания по состоянию на дату отчетности.
В столбце 2 «Ф.И.О. клиента» указывается Ф.И.О. клиента КС полностью.
В столбце 3 «Место жительства клиента по прописке» указывается место жительства (район, город/село, наименование улицы, номер дома) клиента КС по паспорту (выданный органами внутренних дел КР).
В столбце 4 «Телефон» указывается контактный номер телефона клиента КС.
(изменения и дополнения утверждены постановлением Комитета по надзору НБКР № 13/1 от 06.03.2025 г.)
В столбце 5 «Дата предоставления финансирования» указывается дата предоставления финансирования согласно договору по финансированию.
В столбце 6 «Дата погашения предоставленного финансирования» указывается дата погашения предоставленного финансирования согласно договору по финансированию (число, месяц, год).
В столбце 7 «Сумма предоставленного финансирования» указывается сумма предоставленного финансирования согласно договору по финансированию (сом).
В столбцах 8 и 9 «Наценка/доход, в %» и «Коэффициент доходности, в %» указывается годовая наценка/доход и коэффициент доходности по финансированию в процентах.
В столбце 10 «Цель» указывается целевое назначение предоставленного финансирования (вид деятельности на которое направлено финансирование) согласно договору по финансированию.
В столбце 11 «Краткое описание проблемы клиента» указывается причина, по которой пошла просрочка по предоставленному клиенту финансированию.
В столбце 12 «Основной долг» указывается текущая задолженность по предоставленному финансированию по состоянию на отчетную дату.
В столбцах 13 и 14 «Наценка/доход» и «Коэффициент доходности» указывается размер наценки/дохода по текущему финансированию и коэффициент доходности по финансированию в случае, если он был пересчитан на текущую отчетную дату.
В столбце 15 «Пени» указывается размер пени по предоставленному финансированию на отчетную дату.
В столбце 16 «Действия КС по возврату задолженности (планы)» указываются меры, принятые КС по возврату задолженности.
(изменения и дополнения утверждены постановлением Комитета по надзору НБКР №06/2 от 08.02.2018 г.)
23. В форме «Информация о параллельном финансировании» указывается сумма параллельных активов клиентов в других ФКО, и количество клиентов, имеющие параллельные активы.
2 §. Подраздел Б. «Реструктуризированные активы»
24. В данную таблицу включаются сведения по реструктуризированным активам, несущим в себе кредитный риск.
25. В столбце 1 «Ф.И.О. «клиента» указывается фамилия, имя, отчество клиента КС полностью.
В столбце 4 «Дата выдачи» указывается дата предоставления финансирования согласно договору по финансированию (число, месяц, год).
В столбце 5 «Дата погашения» указывается дата погашения финансирования согласно договору по финансированию (число, месяц, год).
В столбце 6 «Сумма финансирования» указывается сумма финансирования согласно договору по финансированию.
В столбце 7 «Наценка/доход, в %» указывается годовая наценка/доход по финансированию согласно договору финансирования.
В столбце 8 «Коэффициент доходности, в %» указывается коэффициент доходности по финансированию согласно договору финансирования.
В столбце 9 «Цель» указывается целевое направление финансирования (вид деятельности, на который предоставлено финансирование) согласно договору по финансированию.
В столбце 10 «Причина реструктуризации» указываются основные причины реструктуризации актива.
В столбце 11 «Основной сумма» указывается размер задолженности по основной сумме финансирования.
В столбце 12 «Наценка/доход, в %» указывается сумма задолженности по наценке/доходу по данному активу.
В столбце 13 «Коэффициент доходности, в %» указывается коэффициент доходности, в случае, если он был пересчитан на текущую отчетную дату.
В столбце 14 «Пени» указывается размер пени по просроченным активам.
В столбце 15 «Дата реструктуризации» указывается дата реструктуризации по дополнительному соглашению (число, месяц, год).
В столбце 16 «Дата погашения» указывается дата погашения реструктуризированного актива по дополнительному соглашению (число, месяц, год).
В столбце 17 «Сумма финансирования» указывается сумма реструктуризированного актива по дополнительному соглашению.
В столбце 18 «Наценка/доход, в %» указывается годовая наценка/доход по реструктуризированному активу по дополнительному соглашению.
В столбце 19 «Коэффициент доходности, в %» указывается коэффициент доходности реструктуризированного актива по дополнительному соглашению.
В столбце 20 «Срок» указывается срок реструктуризированного актива по дополнительному соглашению.
(изменения и дополнения утверждены постановлениями Комитета по надзору НБКР №06/2 от 08.02.2018 г., №13/1 от 06.03.2025 г.)
6. Раздел 6 «Отчет по вкладным (депозитным) операциям КС»
(изменения и дополнения утверждены постановлением Комитета по надзору НБКР № 13/1 от 06.03.2025 г.)
§ 1. Подраздел А. «Объем принятых депозитов с разбивкой по срокам
(изменения и дополнения утверждены постановлением Комитета по надзору НБКР № 13/1 от 06.03.2025 г.)
26. В строке «До востребования» указываются сумма принятых депозитов до востребования клиентов КС в зависимости от сроков, указанных со 2 по 6 графы.
В строке «Срочные» указывается сумма принятых депозитов клиентов КС в зависимости от сроков, указанных со 2 по 6 графы.
В столбце 7 «Всего» указывается общая сумма принятых депозитов до востребования и срочные.
(изменения и дополнения утверждены постановлением Комитета по надзору НБКР № 13/1 от 06.03.2025 г.)
§ 2. Подраздел Б. «Объем принятых депозитов, с разбивкой по суммам
(изменения и дополнения утверждены постановлением Комитета по надзору НБКР № 13/1 от 06.03.2025 г.)
27. В строке «До востребования» указывается сумма принятых депозитов до востребования клиентов КС в зависимости от размеров, указанных со 2 по 6 графы.
В строке «Срочные» указывается сумма принятых депозитов клиентов КС со 2 по 6 графы в зависимости от размеров.
В столбце 6 «Всего» указывается общая сумма принятых депозитов до востребования и срочных депозитов.
(изменения и дополнения утверждены постановлением Комитета по надзору НБКР № 13/1 от 06.03.2025 г.)
§ 3. Подраздел В. «Движение депозитов, за отчетный месяц»
(изменения и дополнения утверждены постановлением Комитета по надзору НБКР № 13/1 от 06.03.2025 г.)
28. В столбце 2 «Остаток на начало» указывается сумма остатка депозитов на начало отчетного периода, в разбивке на депозиты срочные и до востребования.
В столбце 3 «Принято» указывается сумма принятых депозитов за отчетный период, в разбивке на срочные и до востребования.
В столбце 4 «Возвращено» указывается сумма возвращенных депозитов за отчетный период, в разбивке на срочные и до востребования.
В столбце 5 «Остаток на конец» указывается сумма остатка депозитов на конец отчетного периода, в разбивке на срочные и до востребования.
(изменения и дополнения утверждены постановлением Комитета по надзору НБКР № 13/1 от 06.03.2025 г.)
§ 4. Подраздел Г. «Размеры минимальных и максимальных депозитов»
29. В данном подразделе указываются сведения по минимальным и максимальным размерам депозитов до востребования и срочных депозитов клиентов КС.
(изменения и дополнения утверждены постановлением Комитета по надзору НБКР № 13/1 от 06.03.2025 г.)
§ 5. Подраздел Д. «Ставка доходности по привлекаемым
депозитам»
30. В строке «До востребования» указываются ставки доходности по депозитам до востребования клиентов КС в зависимости от сроков, указанных со 2 по 6 графы, а также средневзвешенная ставка доходности на конец отчетного периода, в процентах.
В строке «Срочные» указываются ставки доходности по срочным депозитам клиентов КС в зависимости от сроков, указанных со 2 по 6 графы, а также средневзвешенная ставка доходности на конец отчетного периода, в процентах.
(изменения и дополнения утверждены постановлением Комитета по надзору НБКР № 13/1 от 06.03.2025 г.)
7. Раздел 7 «Прочая информация»
§ 1. Подраздел А. «Сведения о финансировании за отчетный период»
(изменения и дополнения утверждены постановлением Комитета по надзору НБКР № 13/1 от 06.03.2025 г.)
31. В данном подразделе указывается информация по нормальным/просроченным активам, несущим в себе кредитный риск, погашенных/возвращенных в течение отчетного периода (квартала).
§ 2. Подраздел Б. «Гендерный состав клиентов КС»
32. В данном подразделе указывается информация по количеству участников и клиентов КС, получивших финансирование, а также по предоставленному финансированию на конец отчетного периода.
(изменения и дополнения утверждены постановлением Комитета по надзору НБКР № 13/1 от 06.03.2025 г.)
§ 3. Подраздел В. «Участники, клиенты, получившие финансирование и вкладчики
(изменения и дополнения утверждены постановлением Комитета по надзору НБКР № 13/1 от 06.03.2025 г.)
33. В данном подразделе указывается информация по количеству участников, клиентов, получивших финансирование, и вкладчиков КС, на начало и конец отчетного периода, а также увеличение и уменьшение их количества.
(изменения и дополнения утверждены постановлением Комитета по надзору НБКР № 13/1 от 06.03.2025 г.)
§ 4. Подраздел Г. «Сведения по размерам сберегательного пая и финансирования»
34. В данном подразделе указывается информация по минимальным и максимальным размерам сберегательного пая и финансирования и депозитов.
(изменения и дополнения утверждены постановлением Комитета по надзору НБКР № 13/1 от 06.03.2025 г.)
§ 5. Подраздел Д. «Сведения о месторасположении и территории действия КС»
35. В данном подразделе указывается юридический и фактический адреса, территория действия КС, а также телефон (факс) КС и электронный адрес.
(изменения и дополнения утверждены постановлением Комитета по надзору НБКР № 13/1 от 06.03.2025 г.)
§ 6. Подраздел Е. «Условия изъятия сберегательного пая»
36. В столбце 2 «Сроки изъятия» указываются сроки изъятия сберегательных паев участников КС в следующей разбивке:
1) к изъятию
2) до 30 дней
(изменения и дополнения утверждены постановлением Комитета по надзору НБКР № 13/1 от 06.03.2025 г.)
3) до 12 месяцев
4) свыше 12 месяцев
В столбце 3 «Сумма» указывается совокупная сумма паев участников КС с соответствующим условием (сроком) изъятия.
В столбце 4 «Количество паев» указывается количество паев с соответствующими условиями (сроками) изъятия.
§ 7. Подраздел Ж. «Дивиденды»
37. В данном подразделе указывается информация по суммам, подлежащим к выплате, и фактически выплаченным дивидендам участникам КС.
§ 8. Подраздел З. «Краткосрочные обязательства (срок выплаты наступает в течение 30 дней после отчетной даты)»
38. В данном подразделе указываются суммы краткосрочных обязательств, в разбивке по следующим статьям:
1) депозиты со сроком выплаты в течение 30 дней после отчетной даты;
(изменения и дополнения утверждены постановлением Комитета по надзору НБКР № 13/1 от 06.03.2025 г.)
2) сберегательные паи, со сроком изъятия в течение 30 дней после отчетной даты;
3) дивиденды, со сроком выплаты в течение 30 дней после отчетной даты;
4) начисленные обязательства, со сроком выплаты в течение 30 дней после отчетной даты;
5) прочие обязательства, со сроком выплаты в течение 30 дней после отчетной даты;
6) всего - сумма значений строк 1-5.
§ 9. Подраздел И. «Информация по осуществлению розничных банковских услуг
по агентскому договору с банком»
39. В столбце 2 «Наименование банка» указывается наименование банка, с которым заключен агентский договор.
В столбце 3 «Система перевода» указывается система перевода.
В столбце 4 «Количество операций» указывается количество операций за отчетный период.
В столбце 5 «Объем операций, всего с начала года» указывается объем операций по осуществлению расчетов по поручению участников всего с начала года.
В столбце 6 «В том числе за отчетный период» указывается объем операций по осуществлению расчетов по поручению участников за отчетный период.
§ 10. Подраздел К. «Расшифровка по операциям в ФКО и инвестициях»
(изменения и дополнения утверждены постановлением Комитета по надзору НБКР № 13/1 от 06.03.2025 г.)
40. В данном разделе указываются инвестиционные операции КС и операции КС по размещению денежных средств в ФКО.
В столбце 3 указывается наименование предприятия, в котором размещены депозиты или инвестиции.
В столбце 4 указывается остаток депозитов/инвестиций на начало отчетного периода.
В столбце 5 указывается увеличение депозита или инвестиций в течение отчетного периода.
В столбце 6 указывается уменьшение депозита или инвестиций в течение отчетного периода
В столбце 7 указывается остаток на конец отчетного периода
В столбце 8 указывается срок.
В столбце 9 указывается средневзвешенная наценка/доход, на конец отчетного периода, в процентах.
В столбце 10 указывается средневзвешенный коэффициент доходности, на конец отчетного периода, в процентах.
В столбце 11 и 12 указаны валюта и условие депозита и инвестиций, соответственно.
(изменения и дополнения утверждены постановлениями Комитета по надзору НБКР №06/2 от 08.02.2018 г., №13/1 от 06.03.2025 г.)
8. Раздел 8. «Информация по соблюдению экономических нормативов»
41. Столбец 1 «Наименование норматива, ограничения» - сведения предоставляются по следующим экономическим нормативам и ограничениям:
1) норматив максимального размера внешних заимствований КС (Н1);
2) норматив максимального размера риска на одного клиента/поставщика/партнера (Н2);
3) норматив максимального размера инвестиций в капитал ФКО, лицензируемых и регулируемых Национальным банком (Н3);
4) норматив максимального размера инвестиций в основные средства (Н4);
5) норматив ликвидности (Н5 - 1);
6) норматив ликвидности (Н5-2)
7) норматив адекватности институционального капитала (Н6-1);
8) норматив адекватности суммарного капитала (Н6-2);
9) ограничение максимального размера депозитной базы;
В столбце 3 указывается формула расчета норматива (ограничения) в соответствии с Правилами регулирования деятельности КС, осуществляющих операции в соответствии c исламскими принципами банковского дела и финансирования, утвержденными постановлением Правления Национального банка от 16.07.2014г. №32/5 (далее - Правила), в зависимости от периода деятельности.
В столбце 4 указывается значение норматива (ограничения), установленного в Правилах в зависимости от периода деятельности.
В столбце 5 указывается период действия КС.
В столбце 6 указывается фактическое значение норматива (ограничения), рассчитанного в соответствии с Правилами.
В столбце 7 указывается разница между столбцами 4 и 6.
(изменения и дополнения утверждены постановлением Комитета по надзору НБКР № 13/1 от 06.03.2025 г.)
Раздел 9А. «Сведения о членах наблюдательного совета, правления, участниках (пайщиках) и членах Шариатского совета КС»
43. Сведения о членах наблюдательного органа (если имеется) КС должны содержать следующую информацию:
- фамилию, имя и отчество члена наблюдательного органа;
- дату избрания члена наблюдательного органа;
- дату согласования Национальным банком;
- место работы члена наблюдательного органа;
- занимаемую должность члена наблюдательного органа КС;
- номера рабочего телефона члена наблюдательного органа (включая код города/населенного пункта), мобильного телефона члена наблюдательного органа (включая код оператора);
- долю члена наблюдательного органа от долевого капитала КС;
- долю члена наблюдательного органа от уставного капитала других компаний/долю члена наблюдательного органа от владения в других компаниях с указанием наименования компаний;
- дату вхождения члена наблюдательного органа в капитал других компаний/дату приобретения членом наблюдательного органа доли акций в других компаниях;
- образец подписи члена наблюдательного органа (в бумажном виде отчета).
44. Сведения об исполнительном органе (правлении, руководителе) КС должны содержать следующую информацию:
- фамилию, имя и отчество члена исполнительного органа;
- дату назначения исполняющим обязанности председателя правления, члена правления или руководителя;
- дату согласования Национальным банком кандидатуры члена исполнительного органа КС;
- место работы члена исполнительного органа;
- должность члена исполнительного органа в КС;
- номера рабочего телефона члена исполнительного органа (включая код города/населенного пункта), мобильного телефона члена исполнительного органа (включая код оператора);
– занимаемую должность члена исполнительного органа в других компаниях с указанием наименования компаний;
- долю сберегательного пая члена исполнительного органа от долевого капитала КС;
- долю члена исполнительного органа от уставного капитала других компаний/долю члена исполнительного органа от владения в других компаниях с указанием наименования компаний;
- дату вхождения члена исполнительного органа в капитал других компаний/дату приобретения членом исполнительного органа доли акций других компаний;
- распределение полномочий (курируемые сферы деятельности);
- образец подписи члена исполнительного совета (в бумажном виде отчета)
45. Сведения об участниках (пайщиках), владеющих более 5%, должны содержать следующую информацию:
- фамилию, имя и отчество участника/пайщика;
- долю участника/пайщика от долевого капитала КС в процентном выражении;
- дату вхождения в долевой капитал;
- страну происхождения участника/пайщика;
- место работы участника/пайщика;
- род деятельности (занимаемую должность в других компаниях);
- номера рабочего телефона участника/пайщика (включая код города/населенного пункта), мобильного телефона участника/пайщика (включая код оператора);
- долю участия, акции в других ФКО;
- конечного бенефициара;
- образец подписи участника/пайщика (в бумажном виде отчета).
46. Сведения о членах Шариатского совета должны содержать следующую информацию:
- фамилию, имя и отчество члена Шариатского совета;
- дату избрания членом Шариатского совета;
- дату согласования Национальным банком кандидатуры члена Шариатского совета (решение Комитета по надзору/письмо-согласие);
- место работы члена Шариатского совета;
- занимаемую должность члена Шариатского совета (председатель, заместитель председателя, член Шариатского совета);
- номера рабочего телефона члена Шариатского совета (включая код города/населенного пункта), мобильного телефона члена Шариатского совета (включая код оператора);
- занимаемую должность члена Шариатского совета в других компаниях/наименование компаний;
- долю сберегательного пая члена Шариатского совета от долевого капитала КС;
- долю члена Шариатского совета от уставного капитала других компаний/долю члена Шариатского совета от владения в других компаниях с указанием наименования компаний;
- дату вхождения члена Шариатского совета в капитал других компаний/дату приобретения членом Шариатского совета доли акций других компаний;
- образец подписи члена Шариатского совета (в бумажном виде отчета).
Раздел 9Б. «Информация об отдельных должностных лицах КС»
47. Информация об отдельных должностных лицах КС содержит список следующих должностных лиц:
1) внутренний аудитор/члены ревизионной комиссии;
2) риск – менеджер;
3) комплаенс-офицер;
4) руководитель структурного подразделения, ответственный за управление активами и пассивами (либо приравненное к нему по своим функциональным обязанностям);
5) главный бухгалтер;
6) руководитель структурного подразделения, ответственный за финансирование по исламским принципам.
По каждому должностному лицу должна содержаться следующая информация:
- фамилия, имя и отчество должностного лица КС;
- для должностных лиц, кандидатуры которых подлежат обязательному согласованию с Национальным банком, дата согласования Национальным банком (решение Комитета по надзору/письмо-согласие);
- количество подотчетных сотрудников должностного лица;
- номера рабочего телефона должностного лица (включая код города/населенного пункта), мобильного телефона должностного лица (включая код оператора);
- образец подписи должностного лица (в бумажном виде отчета).
Раздел 9В. «Базовая информация по КС (сведения о филиалах, действующих комитетах, дочерних и аффилированных компаниях)»
48. Базовая информация по КС включает следующую информацию:
- полное наименование КС;
- организационно-правовую форму КС;
- адрес (фактический и юридический адрес, город, в котором находится головной офис КС, улица, номер дома, почтовый индекс);
- дату выдачи свидетельства/лицензии, дополнительных лицензий Национального банка (указываются в хронологическом порядке, №, дата);
- наличие ограничений в свидетельствах/лицензиях Национального банка (да/нет);
- перечень ограничений в свидетельствах/лицензиях Национального банка;
- веб-сайт КС в интернете (ссылка на адрес сайта);
- официально объявленную связь: номера рабочего телефона (включая код города/населенного пункта), мобильного телефона (включая код оператора), факс, электронную почту;
- персонал КС (общее количество сотрудников) с указанием штатных единиц и сотрудников по срочным трудовым договорам.
49. Сведения о филиалах КС должны включать следующую информацию:
- наименование филиала КС;
- адрес филиала КС;
- фамилию, имя, отчество руководителя филиала.
50. По каждой дочерней и аффилированной компании КС должна содержаться следующая информация:
- название компании;
- страна происхождения дочерней и/или аффилированной компании;
- вид деятельности дочерней и аффилированной компании;
- доля (%) КС в дочерней и аффилированной компании;
- доля и наименование других учредителей/акционеров в дочерней и аффилированной компании;
- стратегические планы в отношении дочерней и аффилированной компании.
51. По каждому действующему комитету КС должна содержаться следующая информация:
- наименование комитета;
- состав членов комитета (ФИО), занимаемая должность в комитете;
- должность в КС;
- дата согласования Национальным банком (решение Комитета по надзору, письмо-согласие).
Примечание: Сведения, указанные в других разделах, должны соответствовать сведениям, указанным в данном разделе. По всем другим вопросам, касающимся отчета, Национальный банк будет использовать информацию, представленную в данном разделе.
(изменения и дополнения утверждены постановлением Комитета по надзору НБКР № 13/1 от 06.03.2025 г.)
IV. Заключительные положения
42. утратил силу в соответствии с постановлением Комитета по Надзору № 13/1 от 06.03.2025 г.
52. Все формы отчетности должны быть скреплены печатью КС и подтверждены подписями председателя правления и бухгалтера КС.
В случае нарушения КС порядка и срока предоставления регулятивной/финансовой отчетности или в случае представления недостоверной информации Национальный банк принимает меры воздействия в соответствии с действующим законодательством.
Ответственность за достоверность предоставленной информации несут лица из членов органов управления, подписавшие отчет КС.
Примечание. В электронной версии ПРО, предоставляемой в Национальный банк, для соблюдения определенных зависимостей применяется лист «Протокол ошибок». Наличие в нем ошибок указывает на неверное заполнение отчета. Отчеты, содержащие ошибки в листе «Протокол ошибок», Национальным банком приниматься не будут.
(изменения и дополнения утверждены постановлением Комитета по надзору НБКР № 13/1 от 06.03.2025 г.)







